![]() |
| Milorad Pussy Fuentes Simić |
piše: Slobodan Vasković
1.
Milorad Simić, gradonačelnik Devente, u zaista veoma teškoj konkurenciji, uspio je, poslednjih dana, da osvoji titulu jedne od Najvećih kriminalnopolitičkih Spodoba u ovoj zemlji.
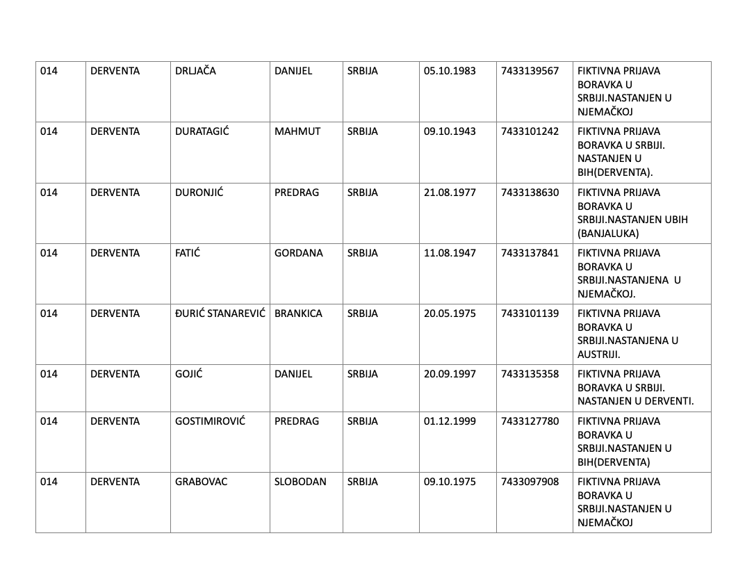
Na izborima je pobijedio zahvaljujući "biračima" fiktivno prijavljenim u inostranstvu, čiji spisak objavljujem u ovom tekstu.
![]() |
3.
Uz “bolesti” nepotizma, dugogodišnje pljačke, teških kriminalnih radnji, privatizacije svega u Derventi, proradili su mu i komorbiditeti, teška psihička stanja i brojne druge mentalne tegobe, jer mu je, nakon opljačkanih desetina miliona, plata umanjena za 1.300 KM.
Simić je rijetko viđen Ološ, a njegov bolesni istup zbog smanjenja plate nije ništa drugo do bolesna uvrijeđenost kriminalca, što se našao neko da mu uzme i jednu jedinu marku, a kojem je sasvim normalno da otima milione. Tipičan otrovni ljudski talog!
4.
Pokazalo se da je Simić, pred publikom, javno nastupio kao Stendap Hulja. Ništa neočekivano; Dapače!
5.
“Bolni” Simićev vapaj, koji je na čelu Dinastije Simić, koja hara Derventom, posljedica je njegovog ličnog osjećaja poniženja u, budžetskim parama, izuzetno dobro ušuškanoj kriminalnoj Familiji: Ne postoji član ove BudžetskoParazitske Porodice koji nije uposlen u javnom sektoru.
6.
Njegova snaha Gordana Simić je direktor dječijeg obdaništa "Trol" u Derventi.
![]() |
| Snaha No 1 - Gordana Simić |
Sin No1 Davor Simić zaposlenik je Elektroprivrede i član UO Zavoda za slijepa i slabovida lica u Derventi; Sve je to bilo malo, pa ga je Tata izgurao i za odbornika u Skupšini Grada Deventa.
![]() |
| Sin No 1 - Davor Simić |
7.
Sin No2 je Igor Simić nešto skromniji - zaposlen je u Upravi za indirektno oporezivanje BiH.
![]() |
| Sin No2 - Igor Simić |
Građani Dervente, koji imaju posao, najčešće rade u obućarskoj industriji za 500-600 KM mjesečno.
Zaista je za kompleksaša i kriminalca Simića “ispod časti” da ima platu veću samo pet do šest puta od radnog stanovništva tog grada. O onima koji nemaju posla, nakon teških duševnih boli, ni ne razmišlja, kao što nije razmišljao ni prije pojave teških komorbiditeta.
8.
Gigantska mjera Simićeve bezočnosti, malicioznosti, licemjerstva, neljudskosti zbog umanjenja plate, dobija na gabaritima ako se zna da je, na izborima održanim 15.11.2020., gradonačenik postao prevarom - na osnovu faslifikovanih glasova.
9.
Da podsjetim, kandidat koalicije SDS-PDP Vlado Kovačević zbrisao je Simića, kao zadnju slinu, na lokalnim izborima, i ostvario pobjedu sa preko 400 glasova razlike.
![]() |
| Vlado Kovačević |
10.
Brojke su varljive, čini se da razlika nije velika, ali, itekako, jeste, jer treba znati da je broj glasača u Derventi bio cca 11 hiljada, a posebno je bitan podatak da je Kuma Dervente Simića znanog i kao Fuentes, podržalo čak dvanaest takozvanih političkih subjekata, listom kleptokratskih klijentelističkih interesnih grupacija.
11.
Iako je Fuentes glatko izgubio mjesec dana kasnije dolazi do Kopernikanskog obrta - Pristizanjem glasova iz inostranstva Fuentes Simić osvaja novi mandat. Bila je to prevara bez presedana, koju ću pojasniti u nastavku, a Fuentes tada nije bio uopšte Ucvijeljena Moralna Nakaza, već se ponašao kao dobitnik ukradenog “oskara”.
12.
U Derventi je za glasanje poštom bilo prijavljeno oko 2.500 glasača; Nije riječ samo o stanovništvu hrvatske nacionalnosti, kako se to pogrešno predstavlja, već i stotinama onih koje su Istrebljivači Naroda - Režim Milorada Dodika protjerao tokom proteklih petnaest godina strahovlade i etničkog čišćenja Srba, Hrvata, Bošnjaka i svih ostalih iz Republike Srpske, koje vrše u kontinuitetu.
![]() |
| Derventa |
13.
Neljudima, kojima pripada i sadašnja Ucvijeljena Pussy Simić, nije bilo mrsko da ih, nakon protjerivanja, još jednom zloupotrijebe, fiktivno ih prijavljujući na adrese širom Evrope, najčešće po državama bivše Jugoslavije.
14.
Zajedno sa njima, na lažne adrese prijavljeno je još stotine lica iz kategorije socijalnih slučajeva, što svjedoči, ne samo o širini krimilanog izbornog inženjeringa, već i o beskrupuloznosti i neljudskosti Pussy Fuentesa i Zločinačkog režima kojem pripada.
15.
Matrica izbornog kriminala je odlično uigrana: Putem različitih kanala dolazi se do kopije ličnog dokumenta; Potom se ispunjava obrazac, koji se, zajedno sa ovom kopijom, iz centrale derventskog SNSD-a šalje CIK-u.
Ključnu ulogu i ozbiljno krivično djelo u ovom segmentu načinio je Jovan Pejin, direktor poslovnice Nove banke u Derventi.
![]() |
| Jovan Pejin |
Za kontrauslugu - Ivona Pejin, njegova supruga, instalisana je u Upravni odbor RTRS-a.
16.
Pejin je teško zloupotrijebio lične podatke građana i izvršio krađu identiteta, tako što je kopije dokumenata koji se dostavljaju prilikom otvaranja žiro računa u banci proslijedio nalogodavcima prevare.
Riječ je o Šljamu, Šlajmu i Ološu poznatim kao Igor Žunić, šef kluba poslanika SNSD-a u NSRS i njegovom kumu, polupismenom klomferu Denisu Pijetloviću, direktoru Komunalca u Derventi.
![]() |
| Igor Žunić Žabac |
Nije Žunić nikakav Žuna, već najobičniji poluinteligentni Žabac, koji se uvijek i isključivo pretvara u Žapca sa brojnom krastama na sebi. Što vrijeme odmiče Žabac Krastača je sve krastaviji od brojnih nedjela.
17.
Korišteni su i zloupotrijebljeni teški socijalni slučajevi i korisnici Centra za socijalni rad Derventa.
Direktorica ove ustanove, beskrupulozna i bezočna, Maja Popović član je SNSD-a i bila je kandidat na listi za odbornike.
18.
Prevara je imala dva cilja: obezbijediti pobjedu Fuentesu i što veću grupu odbornika-polušnika u skupštini. Oni bi billi, odnosno već jesu, pod direktnom komandom mentalno impotentnog Žunića i njegovog klomfera Pijetlovića.
Uspjeli su da, ovom prevarom sa lažno prijavljenim biračima, obezbijede da u Skupštinu opštine kao odbornik ne prođe Slaviša Đuraš, njihov veliki unutarstranački oponent.
19.
Važno je naglasiti da Žunić i Pijetlović preziru Simića, iako im je Pussy Fuentes omogućio enormno bogaćenje, koje svojim minornim intelektualnim kapacitetima nisu mogli čak ni da izmaštaju.
20.
O bezočnoj i prljavoj prevari, OJT Doboj navodno vodi istragu; Navodno, jer Glavna tužiteljka Željka Radović, protiv koje ću narednih dana podnijeti disciplinsku prijavu Kancelariji disciplinskog tužioca VSTS, bila je i ostala sastavni dio Zločinačkog Režima.
Njen osnovni zadatak je da zaštiti kriminalce koji mu pripadaju.
Osim ako nas u ovom slučaju ne iznenade postupajuća tužiteljka Azmira Majrušić i nadležni inspektor Goran Janjanin, što je već u teoriji nanotehnologija i kvantne fizike. (nastaviće se)



























